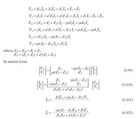
[tmpB56_thumb3.jpg]